Imperial Council Legacy

The State Crown of the Emperors of San Francisco

1975 - David Clisbee had donated the State Crown for the Emperors. The Council of Emperors choose not to use the crown. The early Emperors were more into leather, uniforms, swords etc. not robes and crowns. The Emperors State Crown a symbol, never worn, and is held over the head of the elected Emperor at the Crowing Ceremony at Coronation. The 1st Emperor to be Crowned with the Emperor State Crown Was Emperor XXX A.N. Berlin Fisher, Feb 23 2002.

The State Crown of the Empresses de San Francisco

Imperial State Crown Empresses of San Francisco larger of the 2 State Crowns

Oct 1968 purchased from Dance Arts Company 222 Powell St.


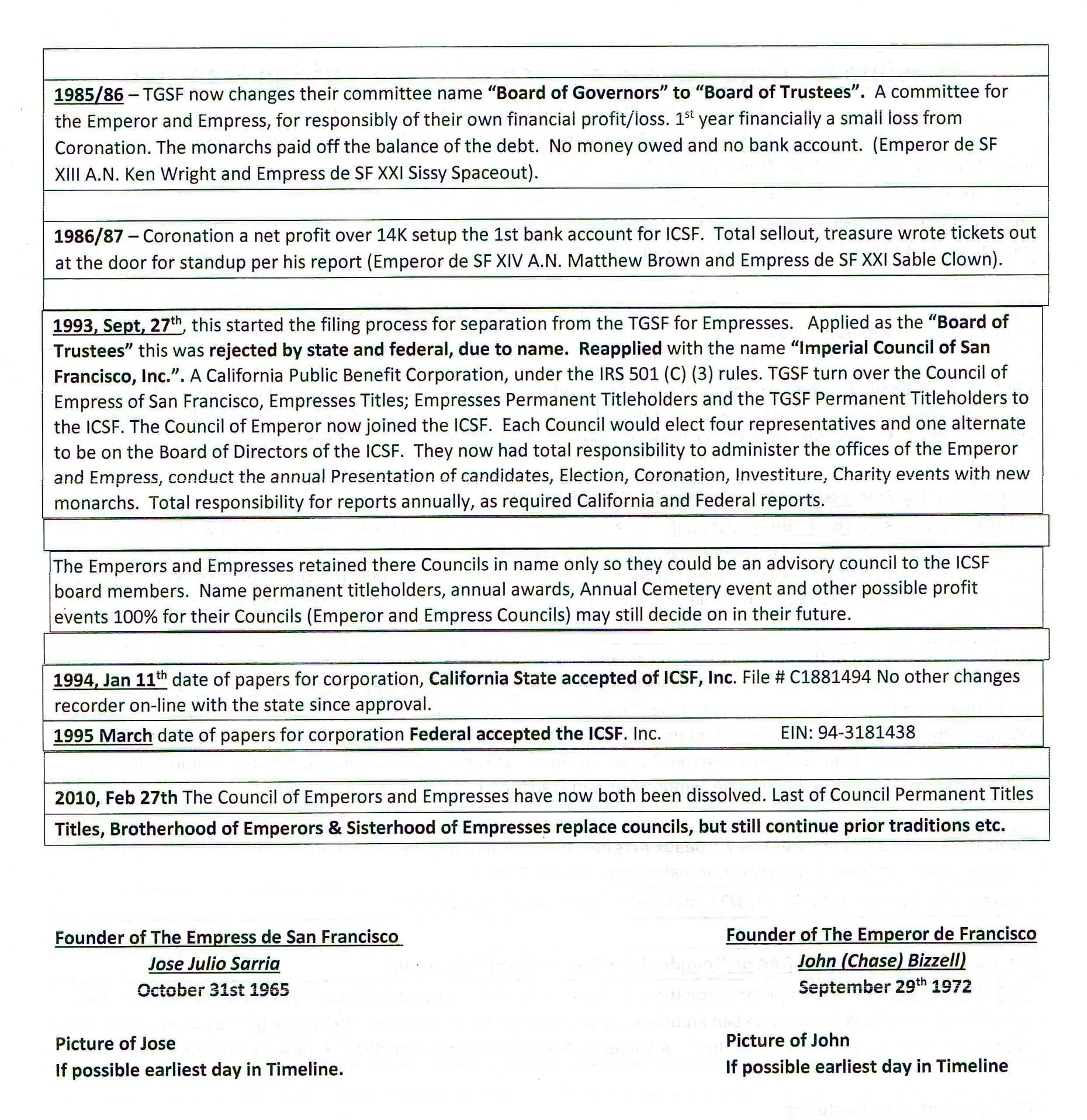
Timeline for the Imperial Council of San Francisco,

Provided by Emperor XIV A.N. Matthew Brown